“무한히 찍히는 이자”는 얼마일까—영구채 가치와 클라우드 시대의 혁신
2025년 2월 15일
3분

[한국정보기술신문] 매년 똑같은 금액이 영원히 내 통장에 찍힌다면 그 돈의 현재 가치는 얼마일까. ‘영구채(Perpetual Bond)’는 바로 이런 상상을 현실로 만든 금융상품이다. 18세기 영국 정부가 발행한 콘솔스(consols)는 만기 없이 이자만 계속 지급해 투자자들에게 잘 알려진 대표적 사례다.
영구채는 원금을 돌려받지 못한다는 점에서 일반 채권과 다르다. 대신 기약 없는 이자 흐름이 계속된다는 매력이 있다. 문제는 ‘무한’을 현재 가치로 환산해야 한다는 계산의 어려움이 뒤따른다.
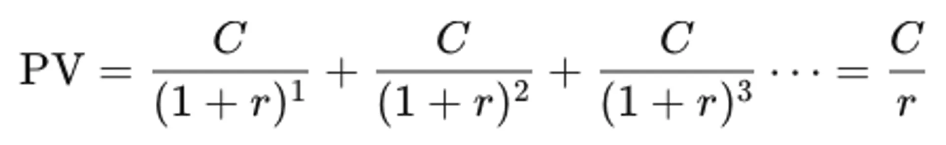
해답은 고등학교 수학시간에 배운 ‘기하급수(geometric series)의 합’에 있다. 등비수열 a + ar + ar² + …의 합은 공비 r의 절댓값이 1보다 작을 때 a/(1 – r)로 수렴한다. 이 간단한 수식으로 무한 현금 흐름도 한눈에 계산할 수 있다.
영구채에 대입하면 공식은 깔끔해진다. 매년 이자액을 C, 할인율을 r이라 두면 현재가치는 C/r이 된다. “무한히 더해도 유한한 값이 나온다”는 수학적 사실이 금융시장에서도 빛을 발한다.
지급액이 매년 g만큼 늘어나는 성장형 영구채라면 공식은 C/(r – g)로 확장된다. 할인율보다 성장률이 낮다는 전제가 붙지만, 안정적으로 성장하는 기업 배당이나 임대료를 평가할 때 꼭 쓰인다.
예를 들어 매년 100만 원 이자를 주고 할인율을 5%로 잡으면, 영구채의 가치는 2,000만 원이다. 만약 이자가 매년 2%씩 늘어난다면 가치는 3,333만 원까지 뛴다. 숫자는 작아 보여도 ‘무한’을 담보로 계산했다는 점이 핵심이다.
공식의 탄생과 금융시장 활용

영구채 공식은 한 장짜리 수학 변형으로 도출된다. 무한급수 C/(1 + r) + C/(1 + r)² + …를 묶어 계산하면 최종적으로 C/r만 남는다. 책에선 단순해 보이지만, 18세기에도 정부 재정 모델링에 활용될 만큼 실용적이었다.
현대 자본시장은 이를 ‘배당 할인 모델(DDM)’로 확장했다. 기업이 영구히 배당을 지급한다고 가정하면 주가를 C/(r – g)로 의사결정할 수 있다. 특히 경기 변동이 적은 성숙 기업을 분석할 때 효과적이다.
할인가 r에는 기업의 자본비용(WACC)과 시장 기대 수익률이 들어간다. 브랜드 가치·네트워크 효과 같은 ‘경제적 해자’를 가진 기업은 낮은 할인율을 적용받아 더 높은 가치가 매겨진다.
영국 콘솔스 이후 영구채는 금융회사가 자본을 조달할 때 간헐적으로 모습을 드러냈다. 국내외 은행도 바젤Ⅲ 규제에 맞춰 ‘AT1 영구채’를 발행해 자기자본비율을 끌어올리는 전략을 쓴다.
부동산도 예외가 아니다. 장기 임대료가 안정적인 상업용 건물은 ‘무한 임대 흐름’으로 모델링해 매매가를 산정한다. 성장률 g를 임대료 인상률로 설정하면 계산이 한층 현실적이 된다.
이처럼 C/r 공식을 조금만 변주하면 주식, 채권, 부동산까지 ‘종신 가치’를 손쉽게 잴 수 있다. 영구채 모델은 복잡해 보이는 금융을 단 두 개 변수로 요약한 셈이다.
하지만 현실 세계는 엑셀 셀 몇 칸으로 끝나지 않는다. 할인율 추정, 성장률 가정, 거시금리 변동 등 수많은 변수가 공식을 흔들어댄다.
IT로 자동화되는 가치 산정

가장 손쉬운 자동화 도구는 엑셀이다. 셀에 ‘=이자/할인율’만 입력하면 결과가 즉시 나타난다. 성장형 영구채도 ‘=이자/(r – g)’로 응용 가능해, 애널리스트 보고서의 기본 골격은 엑셀에서 완성된다.
파이썬 시대가 열리면서 계산은 더 빨라졌다. numpy_financial.pv() 같은 함수는 입력 값만 넣으면 복잡한 현금 흐름을 한 번에 할인해 준다. 대규모 포트폴리오를 돌려볼 때 특히 유용하다.
기업 재무팀은 ERP·CRM과 연결된 자동 스크립트를 돌려 매일 업데이트되는 이자·할인율 데이터를 즉시 반영한다. 보고서 작성 시간이 단축되고, 수작업 오류도 줄어든다.
클라우드 환경에서는 영구채 계산이 ‘API’ 형태로 서비스된다. AWS Lambda나 Azure Functions에 수식을 올려두면, 웹·모바일 앱이 호출할 때마다 실시간으로 현재가치를 뱉어 준다.
더 나아가 밸류에이션 알고리즘에 머신러닝을 결합하는 시도도 있다. 과거 금리·배당·시장 변동 데이터를 학습한 모델이 할인율 r을 자동 추정해 주면, C/r 공식은 예측력을 한 단계 끌어올린다.
핀테크 스타트업들은 이런 로직을 백엔드에 숨기고 ‘1초 만에 기업가치 산정’ 같은 서비스를 제공한다. 사용자는 성장률이나 리스크 프리미엄을 슬라이더로 조정하면서 즉석에서 가치를 확인할 수 있다.
IT가 단순 계산을 넘어서 데이터 파이프라인·AI 예측·시각화까지 엮으면서, 영구채 모델은 사실상 ‘클릭 한 번’짜리 도구가 됐다.
블록체인·클라우드 시대의 영구채
최근 디파이(DeFi) 시장에서는 영구채의 무한 이자 구조를 토큰에 심으려는 실험이 활발하다. 스마트 콘트랙트로 이자 지급 조건을 자동화해, 중개기관 없이도 ‘디지털 콘솔스’를 구현하겠다는 발상이다.
지난해 파생 거래 플랫폼 dYdX가 이더리움 대신 코스모스 블록체인으로 이동하겠다고 발표한 것도, 더 저렴하고 빠른 환경에서 무기한 수익 구조를 토큰화하려는 전략으로 읽힌다.
다만 스마트 콘트랙트 오류나 해킹 위험은 여전히 숙제로 남아 있다. 블록체인 전문가들은 “무기한 이자를 코딩한다는 것은 곧 영원히 해킹 위험이 열려 있다는 뜻”이라며 보안 관리를 강조한다.
클라우드 거버넌스도 중요해졌다. API로 노출된 영구채 계산 로직과 실시간 금리 데이터가 섞이면서, 데이터 유출이나 오입력 리스크를 막기 위한 감리 체계가 필요하다.
결국 ‘무한’을 다루는 모델은 기술과 규제 모두 무한책임을 요구한다. 정확한 할인율 산정, 성장률 검증, 소스코드 보안까지 한 치의 오차도 허용되지 않는다.
2025년을 앞둔 지금, 기하급수 합 공식 하나가 전통 금융과 최첨단 IT를 잇는 가교로 자리 잡았다. 콘솔스 시대에 태어난 C/r 공식은 여전히 유효하며, 데이터·AI·블록체인의 힘을 빌려 새로운 금융 지평을 열어 가고 있다.
한국정보기술신문 블록체인분과 김유빈 기자 news@kitpa.org
![[백준 서비스 종료 ⑧] 백준 이후 어디로 가나...이용자들 대체 플랫폼 찾기 분주](/_next/image?url=https%3A%2F%2Fkitpa.org%2Fstorage%2F41892086-06f3-4c10-99af-4152bdbdff39.webp%23w%3D1920%26h%3D710&w=384&q=75)


